對于單原子催化劑來說,精確制造和調控具有理想性能的穩定催化劑仍然是一項挑戰。
2025年1月2日,安徽大學單磊教授、楊麗副教授團隊在Nature Communications期刊發表題為“Optimizing surface active sites via burying single atom into subsurface lattice for boosted methanol electrooxidation”的研究論文,安徽大學青年教師林運祥為論文第一作者,楊麗副教授、單磊教授、中國科學技術大學宋禮教授為論文共同通訊作者。
該工作中,合肥原位科技有限公司為客戶在耐腐蝕焦耳熱體系構建及低溫焦耳熱控制等方面提供了專業細致的技術支持并獲得了客戶的認可。

該研究以堿性甲醇電氧化為例,合成并研究了Ni3FeN晶格中具有不同配位環境的Ru單原子。在亞表面晶格中埋入Ru原子的Ni3FeN(Ni3FeN-Ruburied)在甲醇到甲酸酯轉化過程中表現出高選擇性和法拉第效率。同時,operando光譜顯示Ni3FeN-Ruburied對反應物的吸附優化,表面結構重構受到抑制。進一步的理論模擬表明,Ni3FeN-Ruburied表面金屬原子的局部電子態得到調控,對反應物的吸附得到優化,電勢決定步驟的能壘降低。該研究不僅報道了一種高效的甲醇在堿性條件下轉化成甲酸的催化劑,而且為合理設計具有更易獲得的表面活性位點的單原子催化劑提供了見解。

DOI:10.1038/s41467-024-55615-x
該研究通過快速焦耳加熱合成方法將Ru單原子埋入Ni3FeN(Ni3FeN-Ruburied)的亞表面晶格中,實現了甲醇到甲酸酯的高效堿性轉化,以闡述研究人員提出的推測。X射線吸收光譜(XAS)和密度泛函理論DFT計算明確了埋入Ru原子的配位環境,這導致了表面金屬原子局部電子結構的重排。Ni3FeN-Ruburied在1.4~1.6 V(vs RHE)電位范圍內表現出較高的FE,且具有理想的穩定性,表明其具有良好的電催化選擇性和活性。進一步的operando表征和理論模擬表明,埋入的Ru單原子激活了表面原子活性,同時優化了對反應物的吸附,抑制了結構重構,從而導致對甲酸鹽的高選擇性。該研究為通過埋入單原子的策略激活更多的表面活性位點提供了一個有前景和有價值的方法。

圖1 |Ni3FeN-Ruburied的合成。a對該研究提出的綜合策略進行了說明(注:繪制了焦耳加熱裝置和管狀爐的模型圖)。制備的Ni3FeN-Ruburied的b TEM和c HRTEM圖像。d Ni3FeN-Ruburied的HAADF-STEM原子分辨率圖像(Ru單原子在紅色圓圈中突出顯示)。e Ni3FeN-Ruburied的元素映射和對應的STEM圖像。

圖2 |局部結構的精確識別。得到的Ni3FeN-Ruburied、Ni3FeN-Rusurface及其對應體的a Ru K-edge(插圖為虛線框內吸收邊緣放大區)、d Ni K-edge和g Fe K-edge(插圖為虛線框內吸收邊緣放大區)XANES光譜圖。得到的Ni3FeN-Ruburied、Ni3FeN-Rusurface及其對應體在R空間顯示的b Ru K-edge、e Ni K-edge(插圖為虛線框內放大區域)和h Fe K-edge(插圖為虛線框內放大區域)的FT-EXAFS曲線。c Ru K-edge,f Ni K-edge和i Fe K-edge的EXAFS擬合曲線。

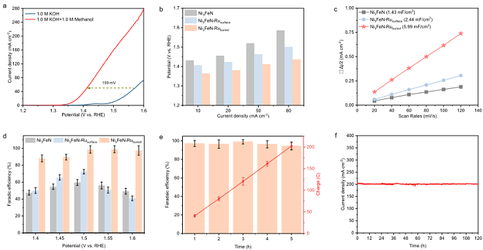
圖3 |堿性條件下電化學MOR性能。a在1.0 M KOH電解液中添加和不添加1 M甲醇時,Ni3FeN-Ru的95% iR補償LSV曲線(電阻值為0.43 ohm)。b Ni3FeN-Ruburied、Ni3FeN-Russurface和Ni3FeN達到不同電流密度的外加電位比較。c在不同掃描速率下通過CV測量得到的制備樣品的Cdl值。d不同電位下甲醇制甲酸的法拉第效率。e在1.5 V(vs RHE)下測試5 h后甲酸酯的法拉第效率隨電荷消耗的變化。f穩定性試驗計時安培曲線(注:電解液每12 h刷新一次)。

圖4 |Operando XAFS對結構演化的研究。a Ni K-edge,c Fe K-edge和e Ru K-edge XANES在不同操作電位下的光譜。b Ni K邊、d Fe K邊和f Ru K邊的FTEXAFS曲線顯示在上述電位下的R空間。在OCV和1.5 V(vs RHE)下,g Ni、h Fe和i Ru K-edge的WT-EXAFS圖。

圖5 |通過EIS、Raman和ATR-SEIRAS研究機理。a在不同電位和相應電位下采集的Operando EIS曲線((注:紅色代表數值較大,藍色代表數值較小)。b在1 M KOH條件下,含和不含1 M甲醇電解質的Ni3FeN-Ruburied的Nyquist圖。c MOR過程中不同工作電位下Ni3FeN-Rusurface和Ni3FeN-Ruburied的Operando Raman光譜。d在1 M KOH和1 M甲醇電解質條件下,不同電位下Ni3FeN-Ru的Operando ATR-SEIRAS光譜。e Ni3FeN-Ruburied的周期性電化學測量。

圖6 |理論模擬。在Ni3FeN-Ruburied體系的電荷分布中,為清晰起見,對Fe3+的活性位點和埋入的Ru原子進行了標記,其中粉色、橙色和青色球分別代表Fe、Ru和Ni原子。b該研究中Ni3FeN-Ruburied、Ni3FeNRusurface和Ni3FeN表面堿性MOR的吉布斯自由能譜和c反應途徑,其中粉色球代表Fe原子,橙色代表Ru原子,藍綠色代表Ni原子,藍色代表N原子,紅色代表O原子,白色代表H原子,棕色代表C原子。d波段中心示意圖。e在不同樣品上CH3OH相互作用的COHP曲線中,上面列出了ICOHP值(eV/鍵),以表示金屬與中間體之間的鍵合相互作用。
該研究從實驗測量和理論模擬可以得出Ni3FeN-Ruburied具有如下優越的催化性能:(1)Ni3FeN-Ruburied亞表面晶格處飽和配位的Ru原子有效激活表面金屬原子,導致局部電子結構重排;(2)激發了表面原子對堿性MOR的固有活性,顯著優化了反應過程中對反應物和中間體的吸附;(3)催化劑表面態的重新排列促進了反應動力學,并具有更好的表面重構能力。(4)特定調控的局部結構有助于降低PDS的能壘,促進甲醇對甲酸酯轉化的選擇性。
總之,該研究證明了將單個原子埋入底物的亞表面晶格可以從本質上優化表面活性位點的催化活性。令人印象深刻的是,該模型Ni3FeN-Ruburied催化劑在寬電位范圍內實現了90%以上的甲醇到甲酸的高FE轉化,具有理想的穩定性。一系列表征進一步表明,埋入的Ru單原子可以有效地優化甲醇和羥基的吸附,同時表現出較高的抗電化學結構重構能力,從而導致甲酸鹽的選擇性形成。DFT計算表明,Ni3FeN-Ruburied的亞表面晶格中Ru原子的埋入導致了電子結構的重排,從而優化了對反應物和中間體的吸附。該研究闡明了局部配位環境的調制原理,這為通過將單個原子埋入亞表面晶格中激活更多表面活性位點提供有價值的見解。